Contoh Surat Permohonan Ijin Pendirian Paud
Contoh proposal ijin paud 1. 15 Contoh Surat Dinas Pendidikan Paling Lengkap Suratresmi Id.

Contoh Surat Permohonan Izin Operasional
Daftar Tenaga Pendidik dan Kualifikasinya Form PAUD 1-03 dilampiri copy ijazah dan atau sertifikasi masing-masing tenaga pendidik.
Contoh surat permohonan ijin pendirian paud. Memang salah satu persyaratan untuk mendirikan Yayasan atau Sekolah kita diminta untuk membuat surat izin lingkungan yang ditujukan kepada Ketua RT dan Ketua RW setempat. Demikian Surat Permohonan ini kami buat dengan sebenarnya dan apabila di kemudian hari ternyata keterangan-keterangan tersebut tidak benar maka kami bersedia menerima sanksi dituntut sesuai dengan peraturan perundang-undangan yang berlaku. Http Vervalsp Data Kemdikbud Go Id Verval Dokumen Skoperasional 37037 239277 56018 2488866 666294765 Pdf.
CONTOH PROPOSAL IJIN PENDIRIAN PAUD DOWNLOAD Contoh proposal Ijin Pendirian PAUD tersebut saya sajikan dalam format MS. Sehubungan dengan penyelenggaraan Pendidikan Anak Usia Dini yang telah kami jalankan secara maksimal menurut kemampuan sesuai prosedur yang ada maka untuk kepentingan pengembangan Pendidikan Anak Usia Dini Kali ini kami mengajukan proposal Permohonan Perpanjangan Ijin Penyelenggaraan PAUD AR-ROHMAH Desa Nalumsari Kecamatan Nalumsari. Permohonan Ijin Mendirikan Kelompok Bermain Taman Pendidikan Anak Usia Dini PAUD Kepada.
Mlonggo-Jepara Kode Pos 59452. CONTOH PROPOSAL IJIN PAUD Nama Yayasan Nomor Akte Notaris dan Alamat Nomor. Word sehingga tidak perlu konversi hanya tinggal Edit sesuai dengan Nama dan keadaan Pelenggara yang sesuai dengan keadaan pada tempat ayah bunda.
Contoh surat izin operasional sekolah aneka contoh. Http Pelayanan Jakarta Go Id Download Regulasi Peraturan Gubernur Nomor 105 Tahun 2012 Tentang Prosedur Pendirian Penggabungan Dan Penutupan Lembaga Pendidikan Pdf. Surat permohonan jadwal pertemuan guru paud.
358080661 Contoh Surat Permohonan Ijin Operasional Paud Docx. Doc Surat Permohonan Izin Operasional Khoiruudin Khoiruudin Academia Edu. Selain itu SK Pendirian PAUD juga akan banyak berguna ketika lembaga mendapatkan bantuan dana dari pemerintah pengajuan NUPTK untuk guru dan keperluan lainnya.
Selanjutnya surat izin lingkungan ini akan dilampirkan pada saat mengajukan izin ke Kelurahan. Biasanya seseorang izin tidak masuk karena suatu keperluan yang tidak bisa dihindarkan seperti sakit keperluan keluarga dan kegiatan lainnya. CONTOH PROPOSAL IJIN PENDIRIAN PAUD.
Doc Surat Permohonan Izin Operasional Khoiruudin Contoh Fomat Surat Permohonan Akreditasi Paud Dan Pnf Tkit Tpq Baitul Aini Contoh Format Persetujuan Warga Izin Pendirian Dan Pembukaan Smp Ptsp Dki Persyaratan Cara Mendirikan Membuka Tk Kb Tpa Dari Nol Tkit Tpq Baitul Aini Contoh Surat Izin Lingkungan. Demikian surat pernyataan ini kami buat dengan sebenar benarnya dan dipergunakan sebagai salah satu syarat untuk perpanjangan izin operasional kober al furqan cipanas 06 juli 2018 kepala sekolah ririn choerunnisa pendidikan anak usia dini paud al. Bapak Kepala Kantor Kementrian Agama.
Diberitahukan dengan hormat dalam rangka mewujudkan program pemerintah melalui pendidikan program luar sekolah yaitu untuk. Selengkapnya mengenai Contoh Pengajuan Surat Ijin Operasional PAUD dalam format PDF dan DOC silahkan anda download menggunakan link di bawah ini. Disini kami akan bahas mengenai surat permohonan mulai cara membuat surat permohonan hingga contoh surat permohonan.
Identitas Yayasan dan Lembaga Pendidikan Form PAUD 1-02 3. Departemen pendidikan nasional nomor 6465 c i 1983 tanggal 4 mei 1983 tentang pembukaan sekolah swasta. 17 Contoh Surat Pribadi Untuk Kakak Teman Sahabat Orang Tua Guru 40 Contoh Kartu Nama Dengan Berbagai Desain.
CONTOH SURAT PERMOHONAN PERPANJANGAN IJIN MADRASAH DINIYAH. Berikut ini contoh SK pendirian yayasan dari lembaga PAUD. Format contoh surat permohonan izin.
Surat rekomendasi persetujuan ini dikeluarkan dalam rangka perlengkapan persyaratan memperoleh rekomedasi pendirian PAUD dari Cabang Dinas Pendidikan Kecamatan xxxxxxxx oleh Yayasan PKK Desa xxxxxxxxxxxxxxx xxxxxxxxxxx 08 November 2010 Kepala Desaxxxxxxxx Kecamatan xxxxxxxxx WARAS SIONO PROPOSAL PERMOHONAN IJIN PENDIRIAN. Dalam surat keputusan pendirian biasanya dijelaskan apa saja profil PAUD tersebut sampai ke organisasi yang ada didalamnya. MADRASAH DINIYAH AWALIYAH LP.
Contoh pengajuan surat ijin operasional paud filenya. Contoh Proposal Pendirian dan Operasional PAUDTK Tahun 2019 harus dilengkapi proposal pengajuan pendirian diantaranya Surat permohonan izin operasional sekolahTK yang dibuat oleh Yayasan dan ditujukan kepada Kepala Badan Usaha Pelayanan Perizinan Terpadu BPPT Kabupaten Kota Kepala Dinas Pendidikan KabupatenKota dan Kepala Unit Pelaksana Teknis Dinas UPTD. Mungkin itu yang dapat saya sajikan pada kesempatan ini semoga CONTOH.
Contoh surat permohonan rekomendasi dari sekolah terdekat untuk pendirian sekolah baru Advertisement Ketika kita hendak mengajukan ijin operasional sekolah baru maka dalam proposal pengajuan harus ada rekomendasi dari sekolah terdekat. Hal ini dikarenakan anak saya sedang dalam proses penyembuhan pasca operasi usus buntu. 1 satu berkas Perihal.
Contoh Surat Izin Operasional Sekolah Dasar Negeri Kumpulan Surat Penting. Contoh Surat Izin Lingkungan untuk mendirikan PAUD dapat dibuat sendiri dengan mudah. Contoh surat permohonan perpanjangan izin operasional tk paud.
Silahkan mengajukan surat permohonan ijin operasional tersebut kepada dinas pendidikan kabupatenkota dengan dilengkapi lampiran sebagai berikut. Memberikan persetujuan izin operasional lembaga pendidikan anak usian dini paud batakalambe desa wakorumba kecamatan wakorumba selatan kabupaten muna terhitung mulai tanggal 14 mei. Copy Akte Pendirian Yayasan oleh Notaris.

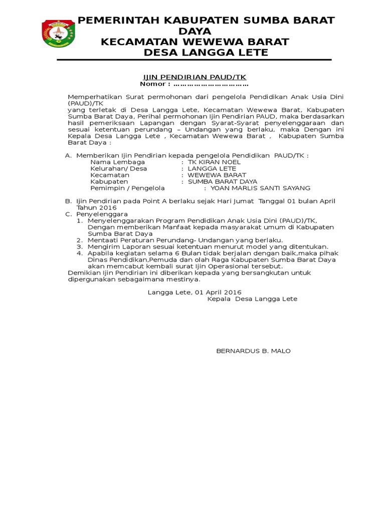
Contoh Surat Izin Pendirian Paud Dari Desa Kumpulan Surat Penting
20 Contoh Surat Izin Pendirian Yayasan Kumpulan Contoh Surat
![]()
Contoh Surat Permohonan Izin Operasional Paud
Surat Permohonan Izin Pendirian Paud Dhamma Rajasa Facebook
![]()
Lampiran Surat Permohonan Perpanjangan Izin Operasional
Contoh Surat Ijin Pendirian Tk

Download Contoh Ijin Operasional Lembaga Paud Format Doc Paud Jateng

Contoh Surat Izin Pendirian Paud Dari Desa Kumpulan Surat Penting

Contoh Surat Permohonan Izin Operasional

Surat Izin Lingkungan Pendirian Tk Kb Tpa Dari Rt Rw Paud Jateng
![]()
Doc Contoh Izin Mendirikan Tk Ade Supriadi Academia Edu

Contoh Surat Izin Pendirian Paud Dari Desa Kumpulan Surat Penting


Post a Comment for "Contoh Surat Permohonan Ijin Pendirian Paud"